1. Cơ sở lý thuyết giao thoa sóng cơ
1.1. Định nghĩa hai nguồn đồng bộ và sự giao thoa sóng cơ
Trên mặt chất lỏng, hai nguồn kết hợp tạo ra hai sóng cơ có cùng phương dao động, cùng tần số và có hiệu số pha không đổi theo thời gian. Nếu hai nguồn kết hợp mà cùng pha thì gọi là hai nguồn đồng bộ.
Trong vùng gặp nhau của hai sóng này sẽ có sự giao thoa, tức là có những điểm xác định mà hai sóng luôn tăng cường nhau (biên độ dao động của phần tử chất lỏng cực đại, gọi là cực đại giao thoa) và có những điểm xác định mà hai sóng luôn làm suy yếu nhau (biên độ dao động của phần tử chất lỏng cực tiểu, gọi là cực tiểu giao thoa).
1.2. Phương trình giao thoa. Điều kiện cực đại cùng (hoặc ngược) pha với nguồn
1.2.1. Phương trình giao thoa

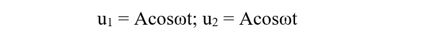
Phương trình sóng tại hai nguồn đồng bộ S1 và S2 là:

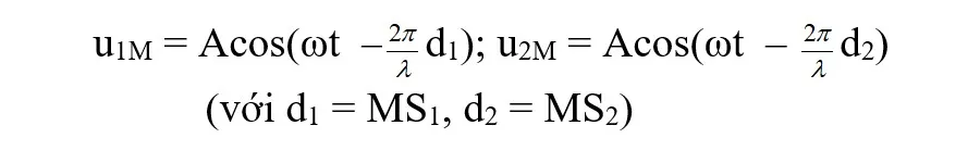
Phương trình sóng do và gửi đến điểm M bất kì trong vùng giao thoa là:

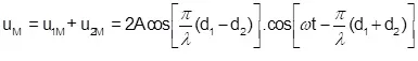
Phương trình sóng (tổng hợp) của điểm M là:

1.2.2. Điều kiện cực đại cùng (hoặc ngược) pha với nguồn
Điều kiện điểm M là cực đại giao thoa là:

(1) (k là số nguyên).
Điều kiện điểm M cùng (hoặc ngược) pha với nguồn là:
(2) (k’ là số nguyên dương).
Phương trình sóng (tổng hợp) của điểm M được viết lại thành:

Vậy, quỹ tích các điểm cực đại mà cùng (hoặc ngược) pha với nguồn là giao điểm của

+ Nếu k và k’ cùng chẵn hoặc cùng lẻ thì đó là các điểm cực đại cùng pha với nguồn.
+ Nếu k chẵn và k’ lẻ (hoặc k lẻ và k’ chẵn) thì đó là các điểm cực đại ngược pha với nguồn.
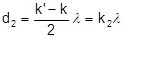
Từ Hình 1, dễ thấy:
Chú ý: Trong một số trường hợp ta có thể biến đổi tiếp (1) và (2) thành:
và 

+ Nếu
cùng là số nguyên dương thì đó là các điểm cực đại cùng pha với nguồn.
+ Nếu
cùng là số bán nguyên dương thì đó là các điểm cực đại ngược pha với nguồn.
2. Phương pháp giải và các ví dụ mẫu về giao thoa sóng cơ
2.1. Dạng bài toán đếm số cực đại cùng (hoặc ngược) pha với nguồn trên đoạn thẳng, đường thẳng, đường tròn,…























































=============================
Người biên soạn:
ThS. Đặng Đức Cường
Trường THCS – THPT Nguyễn Khuyến (Tp.HCM)


