Với Quang hình học thì thấu kính phân kì là một nội dung rất quan trọng. Bài viết này sẽ tổng hợp một số kiến thức liên quan đến thấu kính phân kì. Cùng ôn lại nhé!
Thấu kính là gì?
Thấu kính là một khối chất trong suốt (thủy tinh, nhựa...) giới hạn bởi hai mặt cong hoặc một mặt cong và một mặt phẳng.

Thấu kính (Nguồn: Internet)
Thấu kính phân kì là gì?
- Trong không khí, thấu kính lõm (thấu kính rìa dày) là thấu kính phân kì.

Hình bổ dọc thấu kính lõm (hình a,b,c) và kí hiệu (hình d) (Nguồn: Sưu tầm)
Đặc điểm của thấu kính phân kì:
- Thấu kính phân kì thường dùng có phần rìa dày hơn phần giữa.
- Chiếu một chùm tia tới song song theo phương vuông góc với mặt của một thấu kính phân kì ta thu được chùm tia ló phân kì.
Tính chất của thấu kính phân kì
- Quang tâm: (O) là điểm chính giữa thấu kính, mọi tia sáng đi qua quang tâm O của thấu kính đều truyền thẳng.
- Trục chính: là đường thẳng qua quang tâm O và vuông góc với mặt thấu kính.
- Tiêu điểm: (F, F’) là điểm hội tụ của chùm tia sáng đi qua thấu kính hoặc phần kéo dài của chúng.
- Tiêu cự: (OF = OF’ = f) là khoảng cách từ quang tâm đến tiêu điểm của thấu kính.
- Tiêu diện: là mặt phẳng vuông góc với trục chính và qua tiêu điểm chính.
- Độ tụ: (D)

Trong đó: f tính bằng mét (m); D tính bằng điốp (dp).
* Lưu ý: Tiêu cự và độ tụ của thấu kính phân kì có giá trị âm (D < 0, f < 0).

Biểu diễn quang tâm, trục chính, tiêu điểm, tiêu cự của thấu kính phân kì (Nguồn: Sưu tầm)
Đường truyền của hai tia sáng đặc biệt qua thấu kính phân kì
- Tia tới song song với trục chính cho tia ló có đường kéo dài đi qua tiêu điểm.
- Tia tới qua quang tâm thì tia ló tiếp tục truyền thẳng.
Tính chất ảnh của vật tạo bởi thấu kính phân kì

Ảnh của một vật tạo bởi thấu kính phân kì (Nguồn: Internet)
- Thấu kính phân kì luôn cho ảnh ảo cùng phía, cùng chiều, nhỏ hơn vật và luôn nằm trong khoảng tiêu cự của thấu kính.
- Trường hợp đặc biệt: Vật đặt rất xa thấu kính cho ảnh ảo có vị trí cách thấu kính một khoảng bằng tiêu cự.
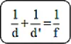
Các công thức liên quan đến thấu kính phân kì
- Công thức xác định vị trí vật và ảnh:

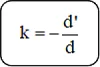
- Công thức xác định hệ số phóng đại ảnh:

* Đối với thấu kính phân kì:

Bài tập vận dụng:
Bài tập 1: Một thấu kính phân kì có độ tụ -5dp.
a)Tính tiêu cự của thấu kính.
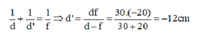
b)Nếu đặt vật cách kính 30 cm thì ảnh hiện ra ở đâu và có số phóng đại bằng bao nhiêu?
Giải:
a)Tiêu cự của thấu kính:

b)Vị trí ảnh:

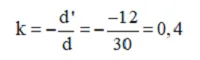
Số phóng đại ảnh:

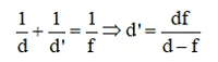
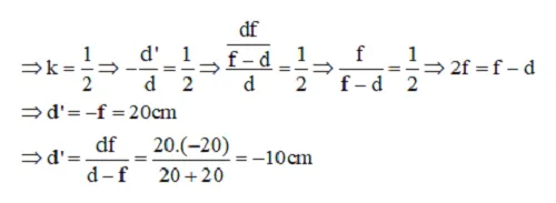
Bài tập 2: Một thấu kính phân kì có tiêu cự f = -20cm. Vật sáng AB là một đoạn thẳng vuông góc với trục chính của thấu kính cho ảnh ảo cao bằng một nửa vật. Xác định vị trí vật và ảnh.
Giải:
Ta có:

Mà vì là thấu kính phân kì:

Nên:




