Tam giác vốn là dạng hình học phổ biến và rất quen thuộc trong các bài toán hình học. Trong chương trình trung học phổ thông, các dạng bài toán liên quan đến tam giác như bất đẳng thức tam giác, đường trung tuyến và tập hợp điểm cũng khiến nhiều em học sinh gặp khó khăn. Hãy tìm hiểu qua bài viết sau đây.
Bất đẳng thức tam giác
-
Định lý bất đẳng thức tam giác
- Định lý: Trong một tam giác, tổng độ dài hai cạnh bất kỳ bao giờ cũng lớn hơn độ dài cạnh còn lại.
Cho tam giác ABC
Ta có:
- AB + AC > BC
- AB + BC > AC
- AC + BC > AB
- Chứng minh: Cho tam giác ABC. Chứng minh rằng: AB + AC > BC
Kẻ AH ⊥ BC (H € BC)
=> AB > HB; AC > HC (quan hệ giữa đường xiên và hình chéo)
=> AB + AC > HB + HC hay AB + AC > BC (đpcm)
Chứng minh tương tự ta có AB + BC > AC và AC + BC > AB.
-
Hệ quả bất đẳng thức tam giác
- Hệ quả: Trong một tam giác, hiệu độ dài hai cạnh bất kỳ bao giờ cũng nhỏ hơn độ dài cạnh còn lại.
Trong tam giác ABC, ta có: |AB − AC| < BC < AB + AC
- Chứng minh: Cho tam giác ABC, chứng minh rằng: AB > BC – AC
Ta có: AB + AC > BC (định lý của bất đẳng thức tam giác)
=> AB > BC – AC
Tương tự, ta có: AC > AB – BC; BC > AB – AC;
AB > AC – BC; AC > BC – AB; BC > AC – AB
- Nhận xét: Trong một tam giác, độ dài một cạnh bao giờ cũng lớn hơn hiệu và nhỏ hơn tổng độ dài của hai cạnh còn lại.
Công thức trung tuyến
-
Định nghĩa:
- Đường trung tuyến của một đoạn thẳng là một đường thẳng đi qua trung điểm của đoạn thẳng đó.
- Đường trung tuyến của một tam giác là đoạn thẳng nối từ đỉnh của tam giác tới trung điểm của cạnh đối diện trong hình học phẳng. Mỗi tam giác có 3 đường trung tuyến.
-
Tính chất
- Ba đường trung tuyến của tam giác cùng đi qua một điểm. Điểm đó cách đỉnh một khoảng bằng 2/3 độ dài đường trung tuyến đi qua đỉnh ấy.
- Giao điểm của ba đường trung tuyến gọi là trọng tâm.
- Vị trí của trọng tâm tam giác: Trọng tâm của một tam giác cách mỗi đỉnh một khoảng bằng 2/3 độ dài đường trung tuyến đi qua đỉnh ấy.
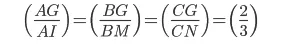
- Gọi G là trọng tâm của tam giác ABC, ABC có các trung tuyến AI, BM, CN thì ta sẽ có biểu thức theo hình dưới đây:
-
Trung tuyến trong tam giác vuông
- Tam giác vuông là một trường hợp đặc biệt của tam giác, trong đó, tam giác sẽ có một góc có độ lớn là 90 độ, và hai cạnh tạo nên góc này vuông góc với nhau.
- Do đó, đường trung tuyến của tam giác vuông sẽ có đầy đủ những tính chất của một đường trung tuyến tam giác.
- Trong một tam giác vuông, đường trung tuyến ứng với cạnh huyền bằng nửa cạnh huyền.
- Một tam giác có trung tuyến ứng với một cạnh bằng nửa cạnh đó thì tam giác ấy là tam giác vuông.
Tam giác ABC vuông ở A, độ dài đường trung tuyến AM sẽ bằng MB, MC và bằng 1/2 BC
Ngược lại, nếu AM = 1/2 BC thì tam giác ABC sẽ vuông ở A.
-
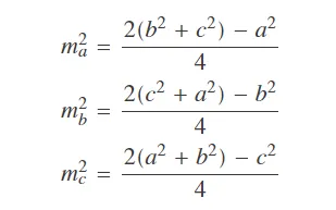
Công thức tính đường trung tuyến
Cho tam giác 𝐴𝐵𝐶 có 3 trung tuyến 𝐴𝑀,𝐵𝑁,𝐶𝑃. Đặt 𝐴𝐵=𝑐, 𝐵𝐶=𝑎, 𝐶𝐴=𝑏, 𝑚𝑎=𝐴𝑀, 𝑚𝑏=𝐵𝑁, 𝑚𝑐=𝐶𝑃. Ta có các công thức sau:
Cho tam giác 𝐴𝐵𝐶 có 3 trung tuyến 𝐴𝑀,𝐵𝑁,𝐶𝑃. Đặt 𝐴𝐵=𝑐, 𝐵𝐶=𝑎, 𝐶𝐴=𝑏, 𝑚𝑎=𝐴𝑀, 𝑚𝑏=𝐵𝑁, 𝑚𝑐=𝐶𝑃. Ta có các công thức sau:
Hay:
Tập hợp điểm
Cho tam giác ABC, tìm tập hợp điểm thỏa mãn đẳng thức vecto:
- Tập hợp các điểm M sao cho MA = k - không đổi là hình cầu tâm A bán kính R = k.
- Tập hợp các điểm M sao cho vecto MA + vecto MB = vecto 0 là trung điểm của đoạn thẳng AB.
- Nếu vecto MA = k. vecto BC, trong đó A ; B ; C là các điểm đã biết thì điểm M cần tìm nằm trên đường thẳng qua A song song (hoặc trùng BC) và MA = |k|.BC
Ví dụ
Các dạng bài toán
Sau đây là các dạng bài tập về đường trung tuyến:
- Dạng 1: Tìm tỉ lệ giữa các cạnh và tính độ dài của đoạn thẳng
Phương pháp giải: Chú ý vị trí trọng tâm tam giác
Với G là trọng tâm tam giác ABC, có AD, BE và CF là 3 đường trung tuyến, ta có:
AG = 2/3 AD; BG = 2/3 BE; CG = 2/3 CF.
- Dạng 2: Đường trung tuyến với tam giác cân, tam giác vuông hay tam giác đều
Phương pháp giải: Đường trung tuyến trong tam giác cân hay đều ứng với cạnh đáy chia tam giác thanh hai tam giác bằng nhau.
Áp dụng công thức tính độ dài đường trung tuyến đã đề cập ở trên.
Trên đây là một số kiến thức liên quan đến bất đẳng thức tam giác, đường trung tuyến trong tam giác và tập hợp điểm trong tam giác. Hy vọng đã cung cấp những kiến thức hữu ích cho bạn.



